A Polícia Militar do Espírito Santo, de forma inédita, realizará o 1º Leilão próprio de bens patrimoniais inservíveis – veículos, que não atendem mais as demandas no âmbito desta administração pública militar, por terem sido classificados como antieconômico.
Em atendimento ao prescrito no Decreto Estadual nº 1.110-R, de 12.12.2002, a PMES torna público e informa aos órgãos interessados a existência desses bens inservíveis no banco de dados de materiais em disponibilidade, que estão sujeitos à movimentação no interior dos órgãos públicos e entre órgãos e instituições de direito público fora do âmbito do Estado.
Os órgãos interessados em alguns desses bens em disponibilidade deverão contactar a Comissão Especial de Leilão da PMES, através do e-mail chefealmoxarifado.dal@pm.es.gov.br ou do telefone 3298-3601.
Os bens disponíveis não requisitados no prazo de 90 (noventa) dias, contados a partir da data de sua publicidade, serão incluídos na primeira ocorrência de alienação posterior ao vencimento desse prazo.
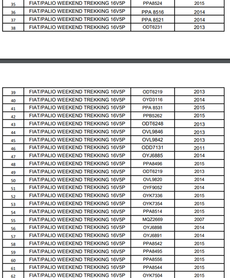
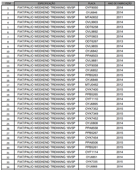
Segue o banco de dados de materiais em disponibilidade:


Informações à Imprensa:
Diretoria de Comunicação Social PMES:
CORONEL JOSÉ AUGUSTO PICCOLI DE ALMEIDA
Tels. (27) 3636-8717 / 3636-8718
E-mail: secretaria.dcs@pm.es.gov.br
Subseção de Jornalismo PMES:
Tel. (27) 3636-8715
E-mail: jornalismo.dcs@pm.es.gov.br